1. 用PN標(biao)記(ji)的整體(ti)鋼制高清下載香蕉視頻app蘋果:管法蘭的高清下載香蕉視頻app蘋果:密封面型式及適用(yong)的公稱(cheng)壓力和公稱(cheng)尺寸范(fan)圍(wei)見表 6-1。

2. 用PN標記的整體鋼制管法(fa)蘭的結構型式包括平面型、突面型、凹凸面型、榫槽面型、O形圈面型及環連接面型等6種,如圖6-1~圖6-6所示。


3. 用(yong)PN標記的(de)整體鋼(gang)制管(guan)法蘭(lan)密封尺寸見圖6-2~圖6-5及(ji)表6-2。用(yong)PN標記的(de)法蘭(lan)環連接面尺寸見圖6-6及(ji)表6-3.


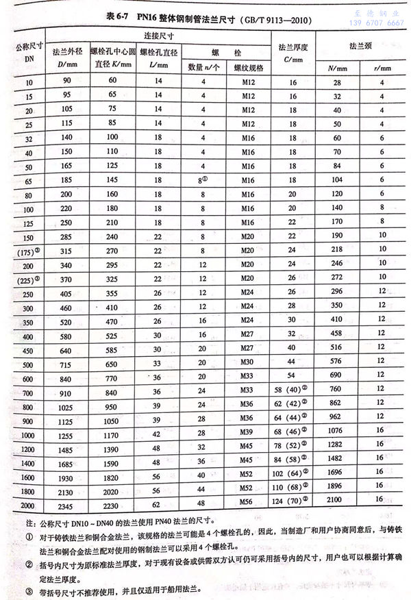
4. 用(yong)PN 標記的整(zheng)體鋼制(zhi)管法蘭的結構尺寸見(jian)圖 6-1 ~ 圖 6-6 及表 6-4 ~表 6-15。




注:公(gong)稱(cheng)尺(chi)寸(cun)(cun)DN10~DN40的法(fa)蘭(lan)(lan)使用PN40法(fa)蘭(lan)(lan)的尺(chi)寸(cun)(cun);公(gong)稱(cheng)尺(chi)寸(cun)(cun)DN50~DN150的法(fa)蘭(lan)(lan)使用PN16法(fa)蘭(lan)(lan)的尺(chi)寸(cun)(cun)。
    ①. 對于鑄鐵法(fa)蘭(lan)和銅合金(jin)(jin)法(fa)蘭(lan),該規格的法(fa)蘭(lan)可能是(shi)4個螺栓(shuan)孔的,因此(ci),當制造廠和用戶協商同意后,與鑄鐵法(fa)蘭(lan)和銅合金(jin)(jin)法(fa)蘭(lan)配對使用的鋼制法(fa)蘭(lan)可以采用4個螺栓(shuan)孔。
    ②. 括號(hao)內尺(chi)寸(cun)為原標(biao)準法蘭厚度,對于現(xian)有設備或供需(xu)雙方認可仍可采用括號(hao)內的(de)尺(chi)寸(cun),用戶也可以(yi)根據(ju)計算確定法蘭厚度。
③. 帶括號尺寸不推薦使用,并(bing)且(qie)僅適用于(yu)船用法蘭。

注:公稱尺寸(cun)DN10~DN40的(de)(de)法蘭使用PN40法蘭的(de)(de)尺寸(cun)。
   ①. 對于(yu)鑄鐵法蘭(lan)(lan)和(he)銅合金(jin)法蘭(lan)(lan),該規格的法蘭(lan)(lan)可能是4個螺栓孔(kong)的,因此,當制造廠(chang)和(he)用戶(hu)協(xie)商同意后,與鑄鐵法蘭(lan)(lan)和(he)銅合金(jin)法蘭(lan)(lan)配對使用的鋼制法蘭(lan)(lan)可以(yi)采用4個螺栓孔(kong)。
②. 括(kuo)號內(nei)尺(chi)寸為原標準法(fa)蘭(lan)厚度,對于現有(you)設(she)備或供需雙方認(ren)可仍可采(cai)用(yong)括(kuo)號內(nei)的尺(chi)寸,用(yong)戶也可以根據計算確定法(fa)蘭(lan)厚度。
   ③. 帶括號尺寸不推薦使(shi)用,并且僅適用于船(chuan)用法(fa)蘭。

注:公稱尺(chi)寸(cun)DN10~DN150的法蘭(lan)使用PN40法蘭(lan)的尺(chi)寸(cun)。
①. 括號內尺寸(cun)為原標準法(fa)蘭(lan)厚(hou)度(du),對于(yu)現有設備或供(gong)需雙(shuang)方認可(ke)(ke)仍可(ke)(ke)采用括號內的尺寸(cun),用戶也(ye)可(ke)(ke)以(yi)根據(ju)計算確定(ding)法(fa)蘭(lan)厚(hou)度(du)。
②. 帶括號尺寸不推薦(jian)使用,并且(qie)僅適用于船用法蘭。






 
		